你提供的照片可能用于改善必应图片处理服务。
隐私政策
|
使用条款
无法使用此链接。检查链接是否以 "http://" 或 "https://" 开头,然后重试。
无法处理此搜索。请尝试其他图像或关键字。
试用视觉搜索
使用图像搜索、识别对象和文本、翻译或解决问题
将一个或多个图像拖到此处,
上传图像
或
打开相机
将图像放到此处以开始搜索
要使用可视化搜索,请在浏览器中启用相机
English
全部
搜索
图片
灵感
创建
集合
视频
地图
资讯
更多
购物
航班
旅游
笔记本
自动播放所有 GIF
在这里更改自动播放及其他图像设置
自动播放所有 GIF
拨动开关以打开
自动播放 GIF
图片尺寸
全部
小
中
大
特大
至少... *
自定义宽度
x
自定义高度
像素
请为宽度和高度输入一个数字
颜色
全部
仅限颜色
黑白
类型
全部
照片
剪贴画
素描
动画 GIF
透明
版式
全部
方形
横版
高
人物
全部
仅脸部
半身像
日期
全部
过去 24 小时
过去一周
过去一个月
去年
授权
全部
所有创作共用
公共领域
免费分享和使用
在商业上免费分享和使用
免费修改、分享和使用
在商业上免费修改、分享和使用
详细了解
清除筛选条件
安全搜索:
中等
严格
中等(默认)
关闭
筛选器
768×576
functionworksheets.com
how to find an exponential function from two points calculat…
480×360
tessshebaylo.com
Equation Of Exponential Function Given Two Points Calculator - T…
800×600
tessshebaylo.com
Equation Of Exponential Function Given Two Points Calculator - T…
877×500
tessshebaylo.com
Exponential Function Equation With Two Points Calculator - Tessshebaylo
464×600
Lesson Planet
Two Points Determine an …
480×360
tessshebaylo.com
Exponential Function Equation With Two Points …
480×360
tessshebaylo.com
Exponential Function Equation With Two Points …
1284×282
chegg.com
Solved Consider a function that goes through the two points | Chegg.com
723×475
Stack Overflow
solver - find exponential function given two points - Stack Overflow
700×362
chegg.com
Solved Find a possible formula for the exponential function | Chegg.com
700×381
chegg.com
Solved Given the following two points of an exponential | Chegg.com
368×387
mathskey.com
Find the exponential function that passe…
700×302
chegg.com
Solved Exponential Functions For each of the following, find | Chegg.com
467×700
chegg.com
Solved Find the equation of a…
2070×1337
storage.googleapis.com
Exponential Function Generator From Points at Ebony Dunlop blog
1024×668
chegg.com
Solved Find the exponential function yCekt that passes | Chegg.com
1024×474
numerade.com
SOLVED:Find a formula for an exponential function passing through the two points. (3,1),(5,4)
1024×470
numerade.com
SOLVED:Find a formula for an exponential function passing through the two points. (-2,6)…
1024×716
numerade.com
SOLVED: Find a formula for the exponential function passing thr…
715×402
tessshebaylo.com
Writing Exponential Equations From 2 Points - Tessshebaylo
640×480
tessshebaylo.com
How To Find The Equation Of An Exponential Function Give…
720×540
tessshebaylo.com
How Do You Find The Equation Of An Exponential Function Given Tw…
488×475
math.stackexchange.com
exponential between 2 points - Mathematics Stac…
960×720
tessshebaylo.com
Exponential Equation Calculator From Points - Tessshebaylo
1920×521
chegg.com
Solved Find the equation for an exponential function that | Chegg.com
700×174
chegg.com
Solved Find the formula for an exponential function that | Chegg.com
700×253
chegg.com
Solved Find the formula for an exponential function that | Chegg.com
1149×205
chegg.com
Solved Find the formula for an exponential function that | Chegg.com
1759×732
chegg.com
Solved Find the equation for an exponential function that | Chegg.com
675×700
chegg.com
Solved 1. You will find the equation of an exp…
2636×212
chegg.com
Solved Find the equation for an exponential function that | Chegg.com
700×277
chegg.com
Solved Find a formula for the exponential function that | Chegg.com
1920×1080
tessshebaylo.com
How Do You Find The Equation Of An Exponential Function Given Two Points - Tessshebaylo
1024×474
numerade.com
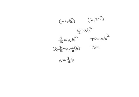
SOLVED:Find a formula for an exponential function passing through the two points. (-1, (2)/(5 ...
1860×1080
chegg.com
Solved Find the formula for the exponential function whose | Chegg.com
某些结果已被隐藏,因为你可能无法访问这些结果。
显示无法访问的结果
查看更多图片
为你推荐的项目
广告
报告不当内容
请选择下列任一选项。
无关
低俗内容
成人
儿童性侵犯
反馈