English
全部
搜索
图片
视频
地图
资讯
更多
购物
航班
旅游
笔记本
报告不当内容
请选择下列任一选项。
无关
低俗内容
成人
儿童性侵犯
时长
全部
短(小于 5 分钟)
中(5-20 分钟)
长(大于 20 分钟)
日期
全部
过去 24 小时
过去一周
过去一个月
去年
清晰度
全部
低于 360p
360p 或更高
480p 或更高
720p 或更高
1080p 或更高
源
全部
Dailymotion
Vimeo
Metacafe
Hulu
VEVO
Myspace
MTV
CBS
Fox
CNN
MSN
价格
全部
免费
付费
清除筛选条件
安全搜索:
中等
严格
中等(默认)
关闭
筛选器
4:08
Khan Academy
Arithmetic series in sigma notation
Sal writes the arithmetic sum 7+9+11+...+403+405 in sigma notation. There are actually two common ways of doing this.
1 个月前
相关产品
Arithmetic Sequence Formula
Arithmetic Sequence Sum Formula
Arithmetic and Geometric Sequences
#sigma
Sigma: Understanding Sigma symbol #statistics #maths #sigma
YouTube
2024年6月1日
Understanding the Meaning of Sigma in Gen Z Slang
TikTok
2024年6月6日
热门视频
Example Problems in Arithmetic Sequence
onlinemath4all.com
2019年8月30日
7:02
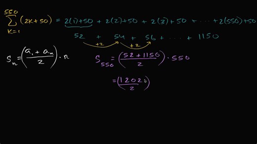
Worked example: arithmetic series (sigma notation)
Khan Academy
1 个月前
3:06
Recursive formulas for arithmetic sequences
Khan Academy
2016年3月17日
Sigma Lenses
8:29
The Most Insane Lens I’ve Ever Tested! Sigma 135mm f/1.4 Review
YouTube
Tony & Chelsea Northrup
已浏览 3.4万 次
3 个月之前
15:14
SIGMA 35mm f1.2 II Art Lens REVIEW: a Near-Perfect Update!
YouTube
Jared Polin
已浏览 3.6万 次
2 个月之前
16:23
SIGMA 17-40 1.8 Zoom Lens Review: EXPENSIVE, But WORTH IT??? (vs 18-50 2.8)
YouTube
Jared Polin
已浏览 8.2万 次
5 个月之前
Example Problems in Arithmetic Sequence
2019年8月30日
onlinemath4all.com
7:02
Worked example: arithmetic series (sigma notation)
1 个月前
Khan Academy
3:06
Recursive formulas for arithmetic sequences
2016年3月17日
Khan Academy
6:00
Sum of Arithmetic Sequence | Formula & Examples
已浏览 45.1万 次
2014年6月16日
Study.com
Yuanxin (Amy) Yang Alcocer
How to Write an Explicit Rule for an Arithmetic Sequence | Algebra | St
…
2021年6月15日
study.com
Identifying Arithmetic and Geometric Sequences
8 个月之前
thoughtco.com
Sigma Notation and Series (examples, solutions, worksheets
…
2010年8月3日
onlinemathlearning.com
5:55
Arithmetic Sequences | Formula & Examples
已浏览 12.1万 次
2014年6月17日
Study.com
7.1.3: Sum Notation and Properties of Sigma
2021年2月24日
libretexts.org
5:51
The Series of an Arithmetic Sequence | Algebra Explained
已浏览 7 次
2 周前
YouTube
FriendlyTheorem
14:41
Understanding Arithmetic Sequences and Explicit Formulas
已浏览 38 次
3 个月之前
YouTube
Tim Beranek
6:17
How to Find an Arithmetic Sequence – What Does It Mean Explained
已浏览 9 次
4 个月之前
YouTube
What does it mean
Understanding Arithmetic Sequences: A Simple Guide
已浏览 5012 次
6 个月之前
TikTok
sirjhobreview
7:22
Arithmetic Sequences
已浏览 7.6万 次
2016年11月16日
YouTube
Maths Genie
6:18
Arithmetic Sequence - Graphs
已浏览 2700 次
2020年8月8日
YouTube
MrTsingo
17:51
Introduction to Arithmetic Sequences
已浏览 8212 次
2021年4月8日
YouTube
McClatchey Maths
9:32
Arithmetic Sequences
已浏览 2547 次
2020年6月11日
YouTube
MK Learningcenter
6:00
14) Sigma Grade 12 | Intro
已浏览 39.8万 次
2020年9月18日
YouTube
Kevinmathscience
2:54
Recursive Formulas For Sequences
已浏览 53.5万 次
2018年2月5日
YouTube
The Organic Chemistry Tutor
9:49
Arithmetic Series Sigma Notation
已浏览 4万 次
2017年1月28日
YouTube
Maths Genie
16:31
Arithmetic and Geometric Sequences
已浏览 22.5万 次
2014年3月16日
YouTube
Kathryn Stewart
8:08
Introduction to Sigma Notation
已浏览 4万 次
2017年3月2日
YouTube
Mathispower4u
8:54
Sequences and Series Introduction
已浏览 15.2万 次
2020年3月19日
YouTube
Mario's Math Tutoring
28:48
The Arithmetic Series - Part 1 - [14]
已浏览 6.6万 次
2021年2月16日
YouTube
Math and Science
2:53
Arithmetic Sequence (Explicit Formula)
已浏览 38.6万 次
2018年5月16日
YouTube
Mario's Math Tutoring
6:06
Sigma notation for series
已浏览 1022 次
2020年1月25日
YouTube
Whiteboard Maths
11:12
Sequences, Factorials, and Summation Notation
已浏览 17.1万 次
2017年12月18日
YouTube
Professor Dave Explains
15:41
Sigma Notation and Summation Notation
已浏览 109.8万 次
2020年7月7日
YouTube
The Organic Chemistry Tutor
9:23
Writing Explicit Formulas for Arithmetic Sequences
已浏览 19.3万 次
2013年9月10日
YouTube
Patty Hill
观看更多视频
更多类似内容
反馈